Об этом пишет 24 Канал со ссылкой на пост пресс-секретаря Белого дома Кэролайн Левитт в Х.
Смотрите также Трамп показал свои истинные намерения относительно Путина и Украины, – CNN
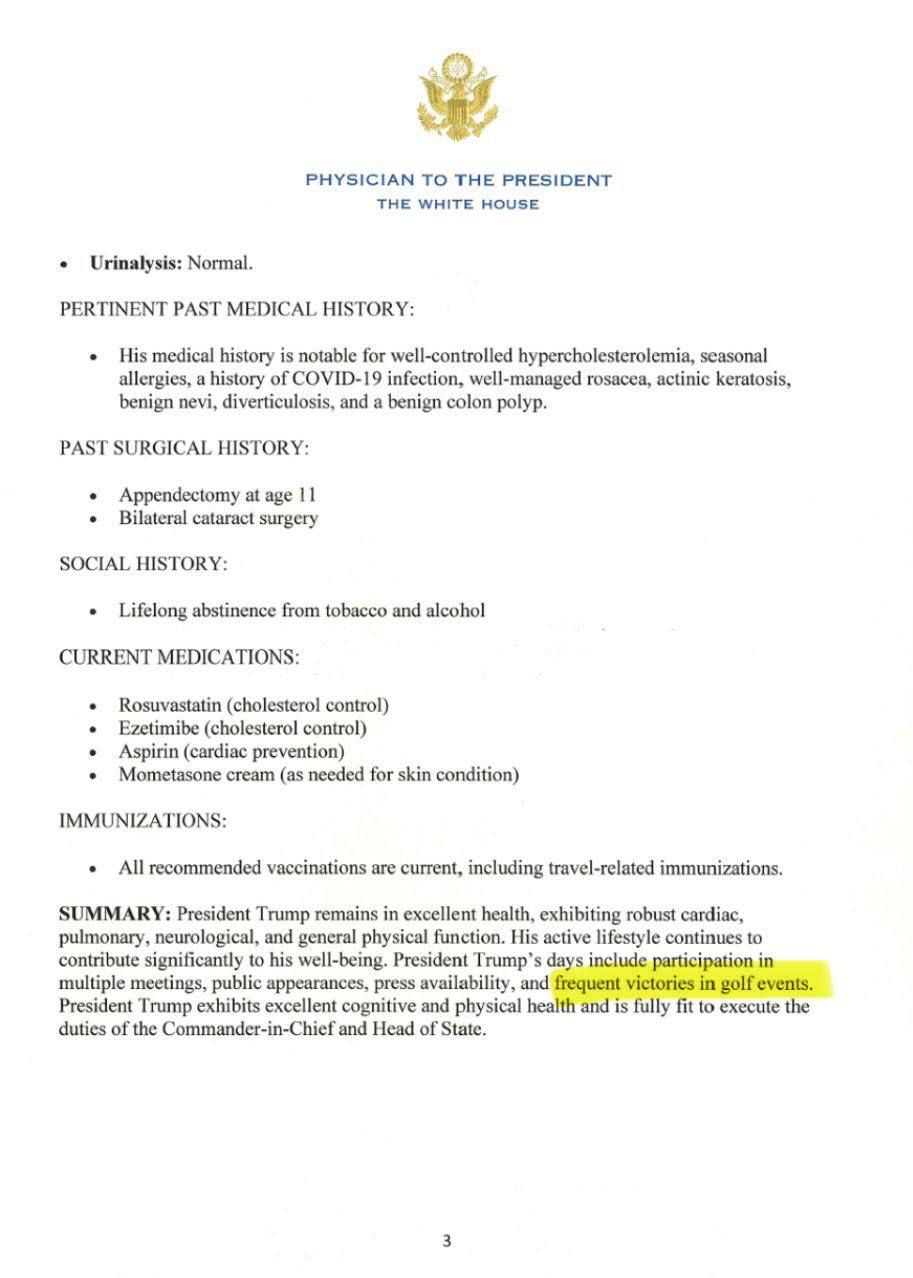
Трамп прошел проверку здоровья: каковы результаты
Врач Белого дома Шон Барбелла заявил, что президент США Дональд Трамп имеет отличное состояние здоровья. Он прошел медицинский осмотр, чтобы доказать, что пригоден для должности главы государства.
Доклад о состоянии здоровья Трампа, предоставлен врачом, является самой подробной информацией о его когнитивном и физическом состоянии, с тех пор, как он вернулся в Белый дом. Дональд Трамп – самый старый человек, который занял пост президента США. Однако возраст не мешает ему вести дела.
Президент Трамп демонстрирует превосходное когнитивное и физическое здоровье и вполне пригоден для выполнения обязанностей главнокомандующего и главы государства,
– говорится в отчете врача.
78-летний Дональд Трамп прошел обследование в Национальном военно-медицинском центре Уолтера Рида. Президент рассказал, что медики дали ему рекомендацию по улучшению образа жизни, однако не уточнил, о чем именно идет речь.
Белый дом опубликовал результаты медицинского обследования / Скриншоты



Так известно, что показатели сердечно-сосудистой, дыхательной, неврологической и других ключевых систем организма Трампа соответствуют норме. Он также имеет хорошую для своего возраста память и реакцию. По результатам специализированных тестов было установлено, что уровень тревожности и признаков депрессии у Трампа низкий.
Масса тела Дональда Трамп составляет около 102 килограммов при росте 190 сантиметров. Все показатели крови также находятся в пределах нормы. Президент США придерживается сбалансированной диеты и даже сохраняет умеренную физическую активность.
Врач подтвердил, что Дональд Трамп не имеет каких-либо признаков заболеваний, которые могли бы повлиять на его повседневную активность. К тому же Барбелла подтвердил хорошее состояние здоровья его "частые победы в соревнованиях по гольфу".

