Отметим, что 8 декабря США согласились обменять россиянина Виктория Бута, приговоренного к 25 годам лишения свободы за торговлю оружием, на баскетболистку Бриттни Грайнер.
К теме Кто такая Бриттни Грайнер и почему ее обменяли на самого известного в мире "торговца смертью" Бута
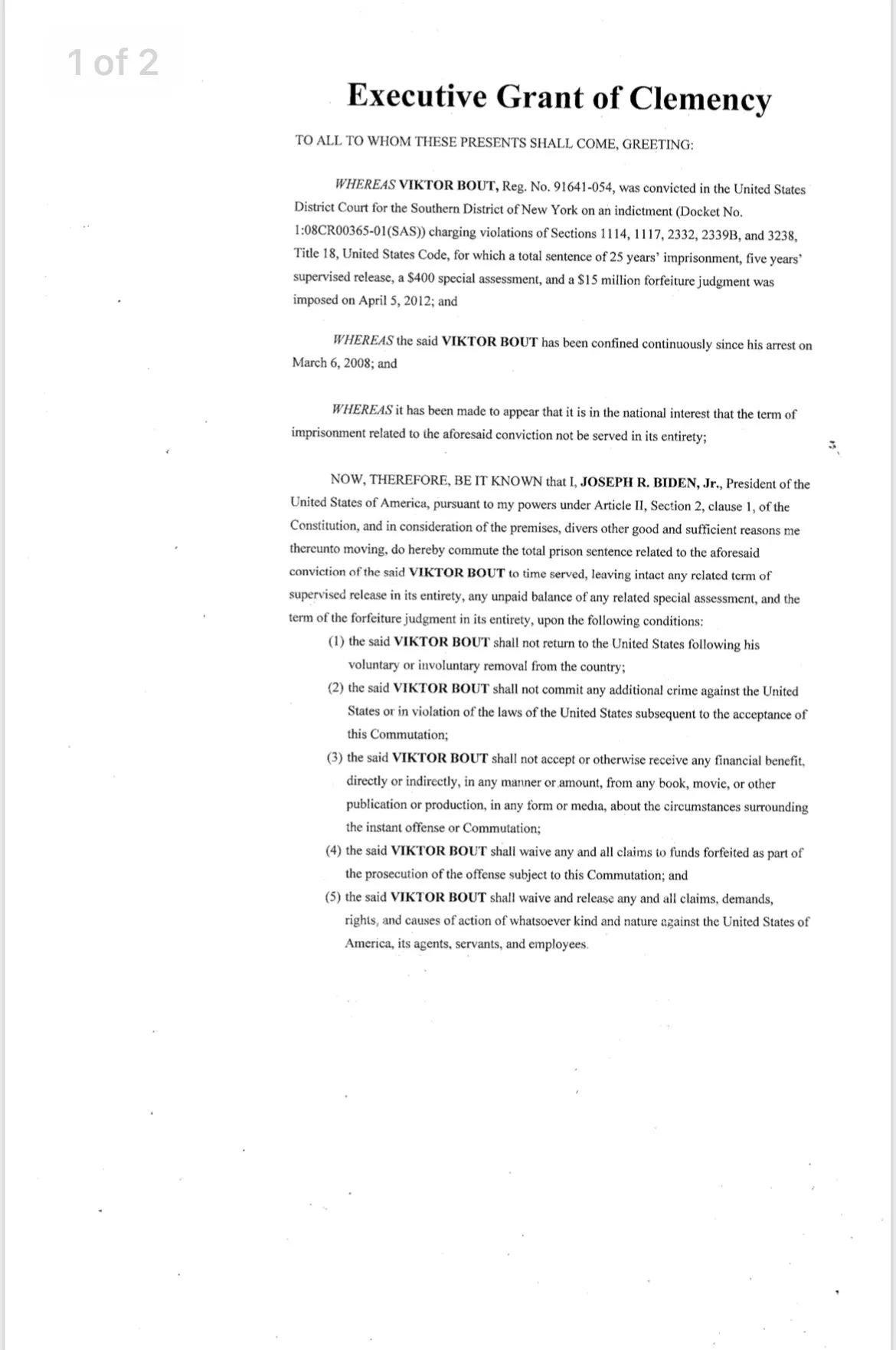
Подробности помилования "торговца смертью"
Освобождение россиянина было оформлено как президентское помилование, которое может быть отозвано за нарушение Бутом любого из указанных в документе условий.
Бут не может под страхом отзыва помилования получать какие-либо отчисления и гонорары от изданий и фильмов, в которых использована его история (Бут являлся прототипом центрального персонажа фильма "Оружейный барон" (Lord of War, 2005), которого сыграл Николас Кейдж).
Помилование Бута будет отозвано также, если он попытается въехать в США, совершить новые преступления против США или нарушить законы США, требовать каких-либо компенсаций от США и выдвигать любые претензии к США, их институтам и официальным лицам.
Первая часть документа / Фото с твиттера Кевина Липтака
Вторая часть документа / Фото с твиттера Кевина Липтака
Что известно об обмене между США и Россией
- Бут по прозвищу "торговец смертью" – бывший советский военный, отбывавший 25-летний тюремный срок в США по обвинению в сговоре с целью убийства американцев, приобретении и экспорте зенитных ракет и предоставлении материальной поддержки террористической организации.
- Если Бут – самый известный торговец оружием, то Бриттни – одна из самых известных баскетболисток мира. Ее задержали в феврале 2022 года. Звездную спортсменку обвинили в хранении картриджей для электронных сигарет, в которых было запрещенное в России гашишное масло.
- За короткий срок Бриттни стала символом – в США началась целая кампания, целью которой стало освобождение спортсменки. Ее возглавили звездные баскетболисты-мужчины. Однако главной мишенью их критики стали не россияне, а власти США, в частности президент Байден.



