Большинство народных избранников получили в октябре зарплату в пределах 36-41 тысяч гривен, говорится в ответе аппарата Верховной Рады на запрос LIGA.net.
Интересно: Кара депутатская: насколько и за что будут штрафовать парламентских прогульщиков
Какую зарплату получили руководители Рады?
- Председатель Верховной Рады Дмитрий Разумков – 44 600 гривен;
- первый вице-спикер Руслан Стефанчук – 54 100 гривен;
- вице-спикер Елена Кондратюк – 45 400 гривен.
Какую зарплату получили председатели фракций и групп?
- Давид Арахамия из "Слуги народа" – 36 700 гривен;
- Юрий Бойко и Вадим Рабинович из ОПЗЖ – 38 800 и 32 800 гривен;
- Юлия Тимошенко из "Батькивщины" – 43 400 гривен;
- Артур Герасимов и Ирина Геращенко из "Европейской солидарности" – 38 800 и 36 500 гривен;
- Сергей Рахманин из "Голоса" – 40 700 гривен;
- Тарас Батенко и Виктор Бондар из депутатской группы "За будущее" – по 41 300 гривен;
К слову, пятый президент Петр Порошенко за октябрь получил 31 600 гривен зарплаты, а лидер "Голоса" Святослав Вакарчук – 41 660 гривен.
У кого в Верховной Раде самая большая зарплата? / инфографика 24 канала
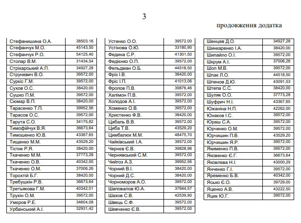
Полный список зарплат депутатов:
Зарплаты народных депутатов за октябрь / фото LIGA.net
О первых зарплатах народных депутатов, которые они получили за сентябрь, – читайте здесь.
Какие зарплаты в Украине?
Размер минимальной зарплаты в Украине сейчас составляет 4173 гривны. Однако, с 1 января 2020 года "минималка" в Украине составит 4723 гривны в месяц или 28,31 гривны в час.
Средняя зарплата по Украине сейчас составляет 10 537 гривен. К слову, самые высокие средние зарплаты получают украинцы в Мариуполе, Киеве, Днепре, Одессе и Харькове.





