Об этом говорится в программе "Схемы" (совместный проект Радио Свобода и канала "UA: Первый").
Читайте также: Сколько тратит Тимошенко, чтобы впоследствии Украина не пропала
На просьбу прокомментировать вопрос об американских лоббистах в США, сначала пресс-секретарь фракции "ВО "Батькивщина" сообщила, что Юлия Тимошенко даст ответ позже. Это позже подтвердила и сама лидер политической силы. Однако, когда вопрос прозвучал второй раз, Тимошенко вообще проигнорировала его и быстро скрылась за дверью сессионного зала парламента.
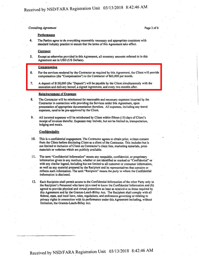
Фирма Avenue Strategies, которую возглавляет Берри Беннетт, подала в Министерство юстиции США документы, где говорится о том, что стоимость лоббистских услуг для Тимошенко составляет 65 тысяч долларов в месяц.
При этом контракт с фирмой Берри Беннетта подписала не самая Юлия Тимошенко, а фирма Two Paths LLC, что согласно документам, действующим от его имени.
Фирма Two Paths LLC – это американская компания, зарегистрированная в так называемом "оффшорном" штате Делавэр, сообщают журналисты программы "Схемы". Узнать ее реальных владельцев из публичных источников невозможно, компания даже не обязана их указывать при регистрации. Она также не публикует свои годовые финансовые отчеты. Все это дает достаточно высокую степень анонимности клиентам, которые выбирают штат Делавэр как место регистрации своих юридических лиц.
Фирма Two Paths LLC создана 13 февраля 2017 года, в соответствии из выписки из реестра юридических лиц штатут Делавэр (США).
Выписка из реестра юридических лиц штата Делавэр (США) на фирму Two Paths LLC (как в базе)
Именно эта фирма, согласно контракту с американскими лоббистами, имеет от имени Тимошенко платить десятки тысяч ежемесячно за предоставление украинскому политику "лоббистских" услуг.
Юристы говорят, если это деньги самой Юлии Тимошенко – то она должна указать эти расходы в своей ежегодной электронной декларации по итогам 2018 года и объяснить их происхождение.
Читайте также: Почему выросли рейтинги у "Батькивщины" и снизились у БПП: версия политолога
"Если субъект декларирования за эти услуги заплатил сам собственные деньги – эти расходы должны быть в следующей ежегодной декларации. И субъект должен объяснить источники происхождения этих средств, поскольку, если откажется объяснить, – это, по сути, является преступлением – незаконным обогащением. Источники этих средств должны быть показаны в декларации. Они не могут просто упасть с неба", – отметила юрист ОО "Центр противодействия коррупции" Елена Щербань.
В случае, если деньги за лоббистские услуги, предоставленные Тимошенко платит постороннее физическое или юридическое лицо, – это трактуется законом как подарок, который должен быть отображен в декларации в течение 10 дней с момента получения этих услуг, говорит юрист. При этом у правоохранителей могут возникнуть вопросы, на основании чего кто-то сделал такой ценный подарок политику:
Если субъект властных полномочий использовал такие полномочия или свой статус для содействия заинтересованным лицам в реализации их интересов и за это получил подарок в виде оплаты лоббистских услуг – это ничто иное как получение неправомерной выгоды,
– заверила Елена Щербань.
Ранее американское издание The Hill сообщило, что Юлия Тимошенко в подготовке к президентским выборам наняла американских лоббистов, которые работали на кампанию Дональда Трампа. Контракт продлится с февраля по август 2018 года. Предусмотрена также возможность его продления. Глава лоббистской компании Берри Беннетт, который работал старшим советником кампании Дональда Трампа, сообщил американским журналистам, что будет работать "только персонально на Юлию Тимошенко, чтобы организовать несколько ее визитов" в США.
К слову, бывший вице-премьер Олег Рыбачук заявил, что Юлия Тимошенко имеет прямую связь с президентом России Владимиром Путиным и он неоднократно подчеркивал их плодотворное сотрудничество.




