Навчання після локдауну
Міністр освіти і науки заявив, що після завершення локдауну учні початкових та випускних 9-х і 11-х класів, які цього року складають ДПА та ЗНО, повернуться до очної або змішаної форми навчання, повідомляє 24 канал.
Цікаво Марихуана в школі та нестабільний розклад: українська вчителька розповіла про викладання у США
МОН надало пояснення, як будуть працювати заклади освіти з 25 січня. Так, учні можуть починати очне навчання, але на період дії карантину заборонено:
- відвідувати заклади освіти групами кількістю понад 20 осіб, крім садочків, шкіл та закладів позашкільної чи спеціалізованої мистецької освіти;
- відвідувати заклади освіти у випадку, коли на самоізоляції через контакт з хворим на COVID-19 перебуває більш як 50% учнів і вчителів (або студентів та викладачів);
- проводити в закладах освіти масові заходи (вистави, свята, концерти) за участю дітей з більш ніж однієї групи/класу та за присутності глядачів (відвідувачів).
Окрім того, Шкарлет запевнив, що після 24 січня в Україні діятиме адаптивний карантин, і в цей період школи будуть виходити на навчання залежно від рівня епідемічної ситуації в регіоні.
Тобто школи в деяких регіонах з великою кількістю випадків захворювання на COVID-19 можуть залишитися закритими для учнів. Водночас змішана форма навчання застосовується, якщо в класі понад 50% дітей захворіли. Тоді вони переходять на самоізоляцію і дистанційний режим,
– заявив очільник МОН.
Додамо, що у Києві ситуація з коронавірусом дозволяє відновити навчання в школах всім учням з понеділка, 25 січня.
"Всі школи Києва готові до навчального процесу, а у закладах освіти впровадили оновлений санітарний регламент. Тому вже з понеділка, 25 січня, учні столичних шкіл повернуться до очного навчання", – сказав Віталій Кличко.
Але, за його словами, якщо епідеміологічна ситуація погіршиться, то буде застосована змішана система навчання. На дистанційне навчання відправлятимуть не всіх школярів, а окремі класи чи цілі школи.
А як навчатимуться студенти та учні в профтехах та коледжах? За сприятливої санітарно-епідемічної ситуації студенти закладів професійної-технічної, передвищої та вищої освіти з 24 січня будуть продовжувати навчання очно або в змішаному форматі.
Проте заклади вищої освіти, маючи автономію та враховуючи епідситуацію в кожному регіоні, самостійно вирішуватимуть, коли та в якій формі організовувати навчання,
– заявили в МОН.
До слова, уряд 20 січня прийняв постанову про здійснення медичного обслуговування учнів. Тож, під час навчання школярі повинні бути забезпечені постійним моніторингом стану здоров’я.
Відтепер кожна школа повинна мати у штаті медичного працівника. А у випадку відсутності у школі медичного працівника, можна укласти договір із будь-яким закладом охорони здоров’я про медобслуговування.
Збільшення зарплат вчителів у 2021
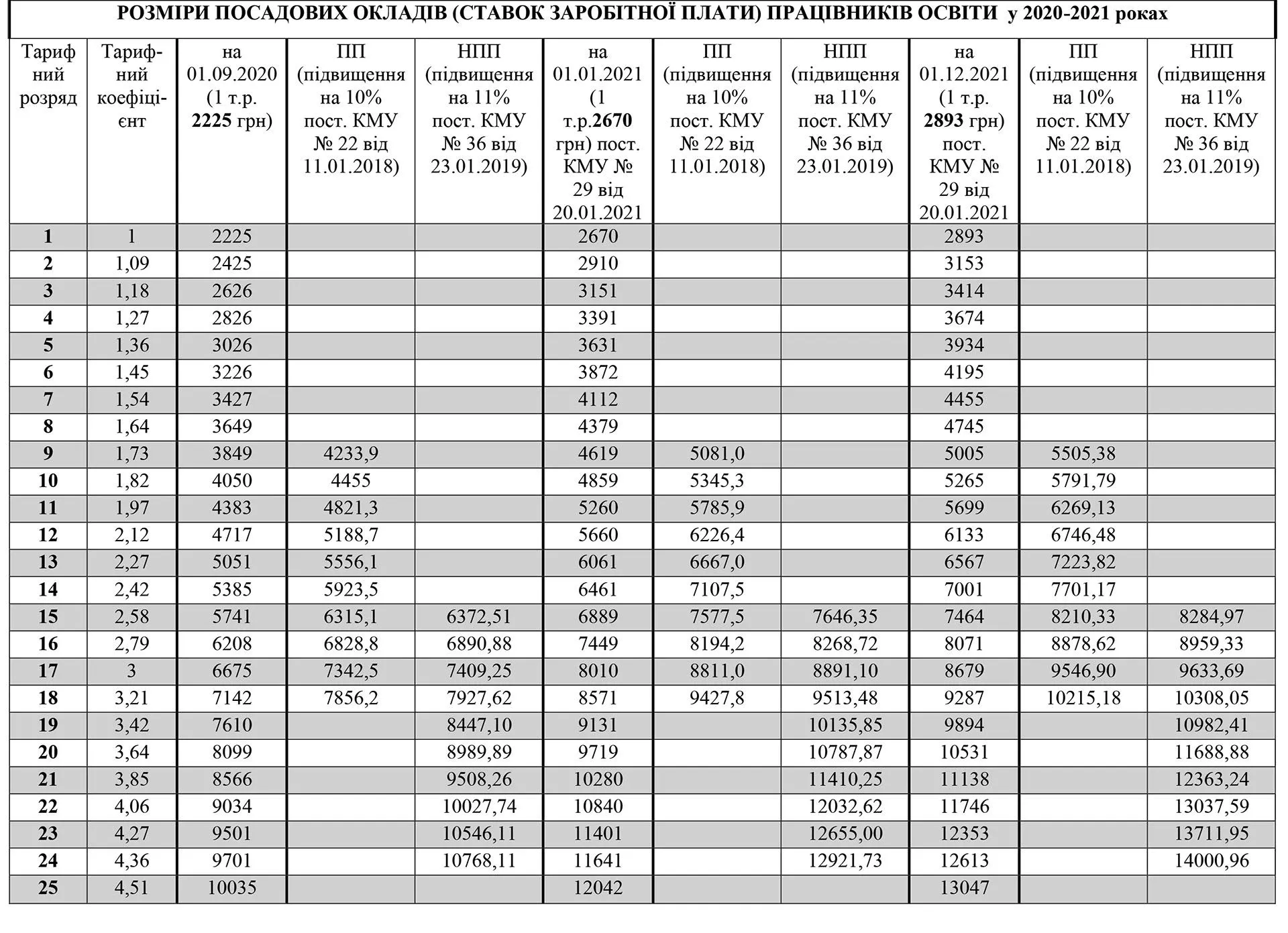
Уряд нарешті ухвалив постанову про збільшення виплат освітянам. Так, вчителі вже з 1 січня 2021 року отримають на 20% більшу зарплату. Водночас з грудня 2021 року зарплати педагогів збільшаться ще на 8,4%.
У постанові Кабміну зазначено, що ставки зарплат вчителів з 1 січня 2021 року розраховуються, виходячи з розміру посадового окладу працівника 1 тарифного розряду – 2 670 гривень, а з 1 грудня 2021 – 2 893 гривень.
Ставки зарплат вчителів у 2020 та 2021 роках / Фото Профспілка працівників освіти
На скільки збільшаться зарплати освітян:
- ставка молодого вчителя без категорії та стажу роботи з січня 2021 становитиме 4 тисячі 859 гривень, з грудня – 5 тисяч 265 гривень.
- ставка вчителя I категорії з січня 2021 року збільшиться до 6 тисяч 61 гривню, а з грудня 2021 – до 6 тисяч 567 гривень.
- ставка вчителя вищої категорії із січня 2021 року підніметься до 6 тисяч 461 гривні, а з грудня 2021 – до 7 тисяч 1 гривні.
Також залишаються надбавки за вислугу років (близько 20%, для молодих учителів – 10%), престижність праці (5–30 %) та інші доплати (винагорода за сумлінну працю, кошти на оздоровлення тощо).
У Міністерстві фінансів додали, що у Державному бюджеті на 2021 рік на оплату праці вчителів передбачено майже 100 мільярдів гривень, а це на 18,7 мільярда більше ніж у 2020 році. Так, з цих коштів зарплату отримають понад 400 тисяч учителів.
Мовний закон
16 січня вступила в дію нова стаття закону про українську мову, яка впливає і на освітню сферу. Норма передбачає зміни у проведенні деяких навчальних процесів країни, а за невиконання на порушників чекають штрафи.
Зокрема, державною мовою має здійснюватися освіта будь-яких форм та рівнів: очна, заочна, дистанційна, мережева, експертна, сімейна тощо.
Тож, українську мову повинні використовувати під час надання таких освітніх послуг:
- навчанні в садочку, школі, коледжах, профтехах, інститутах та вишах, а також в закладах освіти військових ліцеїв і академій, в'язничних шкіл тощо;
- отримання додаткових знань і навичок, перепідготовки, підвищення кваліфікації та здобуття нової професії;
- у сфері спорту та відпочинку, включаючи послуги професійних спортивних інструкторів, вчителів, тренерів і таборів спортивного навчання;
- у сфері культури, зокрема в навчанні мистецтвам, хореографії, музики, театральної справи в різноманітних школах, студіях та класах;
- в інших формах освіти, таких як комп'ютерне, релігійне навчання та вивчення іноземних мов;
- в допоміжній навчальній діяльності: в закладах, які підтримують освітній процес або консультують з питань освіти.
Як каратимуть за невиконання закону? Спочатку суб'єкту господарювання оголошують попередження та складають протокол. Підприємство зобов'язане усунути порушення протягом 30 днів. Якщо стаття порушується повторно, загрожує штраф від 5100 до 6800 гривень.
Як діяти, якщо вас не хочуть обслуговувати українською / Інфографіка 24 каналу
Червоні дипломи у вишах
Міносвіти поінформувало про затвердження форм документів про вищу освіту. Так, міністр освіти Сергій Шкарлет підписав наказ про нові форми дипломів для бакалаврів та магістрів. Це означало, що з 1 січня 2021 "червоних" дипломів про вищу освіту більше не буде.
У МОН заявили, що в різних вишах системи оцінювання теж відрізняються. Тому сенсу в однакових дипломах немає. Водночас проректор КНУ імені Тараса Шевченка Володимир Бугров вважає, що така цінність цього документу про освіту є пережитком часів СРСР.
До теми Учні почали більше читати: у Департаменті освіти назвали переваги онлайн-навчання
Експерти запевняють, що зараз оцінки в дипломі – чи не останнє, на що звертає увагу роботодавець, коли наймає вчорашнього студента. Єдине, в чому може допомогти червоний диплом – дещо розказати працедавцю про характер його власника, але вирішальним він точно не є.
Проте згодом у МОН пояснили, що заклади вищої освіти можуть вказувати інформацію про особливі досягнення випускників у додатку до диплома. Також вимоги до присудження відзнаки ВНЗ визначають самостійно.
Скандали в школах
- Булінг 13-річної школярки через інтимні фото
В Херсонській області інтимні фото 13-річної учениці потрапили до шкільного чату, і це спричинило цькування з боку однокласників. Зрештою дівчинка закрилася у собі та відмовилася відвідувати школу.
Діти створили у соцмережі спільний учнівський чат, де принижували дівчинку. Під час перевірки факт кібербулінгу школярки в месенджері підтвердився. Щодо батьків неповнолітніх кривдниць поліцейські склали адміністративні протоколи. Деталі – за посиланням.
- Учителька "вигнала" учня з онлайн-урок
У Дніпрі вчителька від’єднала учня від онлайн-уроку через те, що він не хотів вмикати камеру і показувати своє обличчя. В мережі через це виник скандал, адже не всі підтримують дистанційне навчання.
Учителька від'єднала учня від онлайн-уроку / Скриншот посту
У коментарях користувачі висловлювали свою думку. Хтось звинувачував систему освіти та вчителя, а деякі стали на їх захист. Деталі – за посиланням.
- Систематичний булінг у школі Харкова
В селищі Нова Водолага на Харківщині суд оштрафував матір 10-річного цькувальника. Юнак систематично ображав та принижував однокласників, а також застосовував фізичну силу.
Ще в листопаді 2020 року до відділку поліції звернувся директор ліцею. Він повідомив про булінг однокласників учнем 5 класу. З такою скаргою до директора прийшли батьки двох дітей.
Поліцейські склали протокол на 46-річну матір школяра та вирішили притягнути її до адміністративної відповідальності. Також вона змушена заплатити штраф у розмірі 850 гривень.
- Мама пів року не пускала дитину до школи через COVID-19
У Бердянську, що на Запоріжжі, мама з вересня 2020 року мати не пускала власну доньку до школи через поширення захворюваності на COVID-19. Жінка пояснила, що відвідування закладу освіти в цей період може зашкодити здоров'ю дитини.
Суд постановив, що жінка винна в адміністративному правопорушенні. Але матері школярки винесли покарання лише у вигляді попередження.
Курси для учнів та студентів
- STEM-курси для учениць
Освітній проєкт STEM is FEM оголосив старт відбіркового туру для дівчат на безкоштовну участь в модулі "Комп'ютерна наука". Школярки зможуть на два дні зануритися в одну з найсучасніших галузей України та світу. Навчання проводитиметься 20 та 21 лютого в режимі онлайн.
В межах модуля відбуватиметься наступне:
- мотивуючі лекції;
- зустрічі з жінками, які досягли успіхів у своїй кар'єрі;
- цікаві воркшопи;
- творчі завдання;
- розіграш подарунків.
Для участі необхідно зареєструватися на сайті проєкту та відповісти на 4 запитання. Якщо вас буде відібрано, на електронну поштову скриньку надішлють лист із запрошенням. Участь в модулі повністю безкоштовна.
- Студентів запрошують на навчання в США за програмою обміну
Державний департамент США запрошує студентів-бакалаврів, які навчаються на 1 та 2 курсах в українських вишах, взяти участь у відкритому конкурсі на програму обміну з компонентом "STEM та підприємництво".
Програма обміну в США розпочнеться із січня 2022 року. Фіналісти не можуть впливати на дати чи відкладати участь у програмі на пізніший термін.
Хто може взяти участь
- українці, які є студентами 1 чи 2 курсу денної форми навчання в університетах.
- високий рівень академічної успішності, соціальної активності та лідерський потенціал.
- володіння англійською мовою на рівні, достатньому для навчання та спілкування в англомовному середовищі.





